Projection of Climate Impact on Discharge and Energy Production of Cascade Hydroelectric Power Plant in North Sulawesi
Main Article Content
Guntur Ibnu Haq
Joni Hermana
Background: Climate change is a major challenge for the sustainability of hydropower plants (PLTA) in tropical areas such as North Sulawesi, which are highly dependent on water availability from seasonal rainfall.
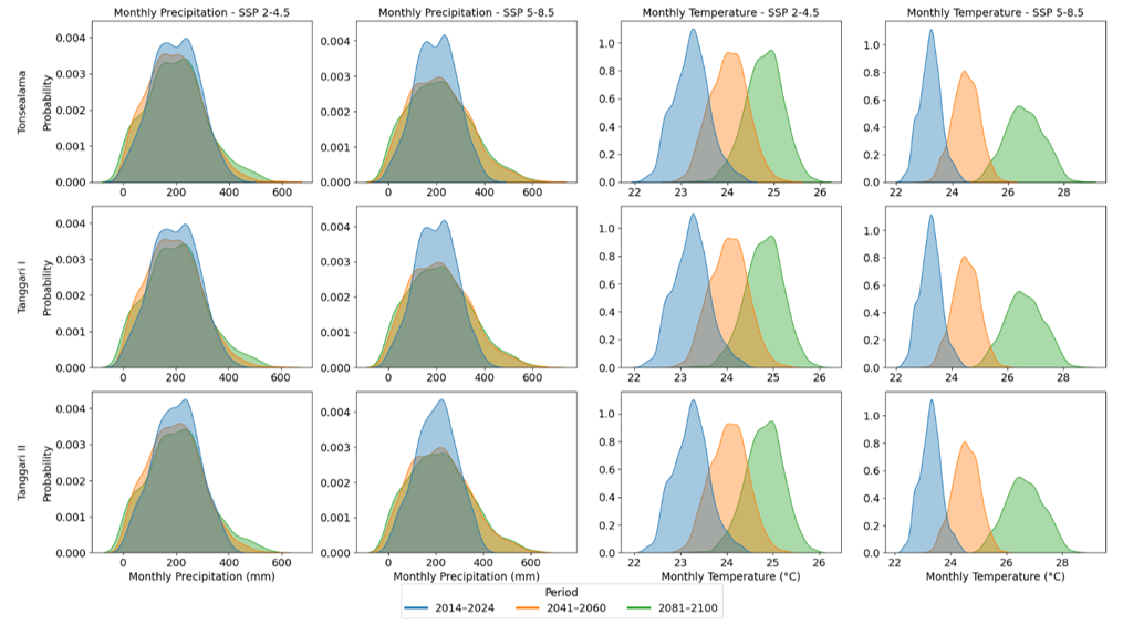
Aims & Methods: This study aims to project the water discharge and electricity production of the Tonsealama, Tanggari I, and Tanggari II hydropower plants based on the SSP2-4.5 and SSP5-8.5 climate change scenarios. Historical climate data (2014–2024) from BMKG and hydropower plant operation data (2019–2024) are used to train the prediction model using the Random Forest algorithm, with bias correction performed on the CMIP6 GCM output through a hybrid approach combining Random Forest and Delta Change.
Result: The results show a consistent decrease in discharge and energy at the three hydropower plants, especially in May, which has been the peak of the rainy season. The average annual discharge decrease reached 9%, while the decrease in electricity was recorded at 5,528.77 MWh (SSP2-4.5) and 3,053.42 MWh (SSP5-8.5) for the Tonsealama hydropower plant; 8,085.37 MWh and 12,625.98 MWh for PLTA Tanggari I; and the highest decline was experienced by PLTA Tanggari II of 18,160.42 MWh and 9,255.40 MWh. Although higher warming occurs in the SSP5-8.5 scenario, occasional extreme rainfall events partially offset the decline in energy production. These findings emphasize the importance of adaptation strategies through more flexible reservoir management, turbine operations, and integrated water resource planning to increase system resilience to future climate uncertainty.
Akbar, H., Nilsalab, P., Silalertruksa, T., & Gheewala, S. H. (2023). The Effect of Climate Change on the Hydropower Potential in the Kunhar River Watershed, Pakistan. World, 4(4), 776–794. https://doi.org/10.3390/world4040049.
Bakri, M.S, Robbi, N., & Basjir, M. (2024). Optimasi Pengaturan Pembangkit Hidro Kaskade Sungai Brantas untuk Meningkatkan Cascade Effectiveness. Jurnal Serambi Engineering, 9(3), 9714-9725.
Bergstra, J., & Bengio, Y. (2012). Random Search for Hyper-Parameter Optimization. Journal of Machine Learning Research, 13, 281–305.
Chiang, J. L., Yang, H. C., Chen, Y. R., & Lee, M. H. (2013). Potential impact of climate change on hydropower generation in southern Taiwan. Energy Procedia, 40, 34–37. https://doi.org/10.1016/j.egypro.2013.08.005.
Chilkoti, V. (2019). Impacts of climate change on hydropower generation and developing adaptation measures through hydrologic modeling and multi-objective optimization. [Electronic Theses and Dissertation, University of Windsor]. https://scholar.uwindsor.ca/etd/7691.
Das, P., Zhang, Z., & Ren, H. (2022). Evaluation of four bias correction methods and random forest model for climate change projection in the Mara River Basin, East Africa. Journal of Water and Climate Change, 13(4), 1900–1919. https://doi.org/10.2166/wcc.2022.299.
Hariadi, M. H., Van Der Schrier, G., Steeneveld, G. J., Sutanto, S. J., Sutanudjaja, E., Ratri, D. N., Sopaheluwakan, A., & Klein Tank, A. (2024). A high-resolution perspective of extreme rainfall and river flow under extreme climate change in Southeast Asia. Hydrology and Earth System Sciences, 28(9), 1935–1956. https://doi.org/10.5194/hess-28-1935-2024
IPCC (2023). Climate Change 2023: Synthesis Report. Contribution of Working Groups I, II and III to the Sixth Assessment Report of the Intergovernmental Panel on Climate Change [Core Writing Team, H. Lee and J. Romero (eds.)]. IPCC, Geneva, Switzerland, 184pp https://doi.org/10.59327/IPCC/AR6-9789291691647.
Li, Z., Liu, T., Huang, Y., Peng, J., & Ling, Y. (2022). Evaluation of the CMIP6 Precipitation Simulations Over Global Land. Earth’s Future, 10(8). https://doi.org/10.1029/2021EF002500.
Liang, S., Wang, D., Ziegler, A. D., Li, L. Z. X., & Zeng, Z. (2022). Madden–Julian Oscillation-induced extreme rainfalls constrained by global warming mitigation. Npj Climate and Atmospheric Science, 5(1). https://doi.org/10.1038/s41612-022-00291-1.
Luo, X., Fan, X., Li, Y., & Ji, X. (2020). Bias correction of a gauge-based gridded product to improve extreme precipitation analysis in the Yarlung Tsangpo-Brahmaputra River basin. Natural Hazards and Earth System Sciences, 20(8), 2243–2254. https://doi.org/10.5194/nhess-20-2243-2020.
Mtilatila, L., Bronstert, A., Shrestha, P., Kadewere, P., & Vormoor, K. (2020). Susceptibility of water resources and hydropower production to climate change in the tropics: The case of Lake Malawi and Shire River Basins, SE Africa. Hydrology, 7(3). https://doi.org/10.3390/hydrology7030054.
Navarro-Racines, C., Tarapues, J., Thornton, P., Jarvis, A., & Ramirez-Villegas, J. (2020). High-resolution and bias-corrected CMIP5 projections for climate change impact assessments. Scientific Data, 7(1). https://doi.org/10.1038/s41597-019-0343-8.
Novitasari, D., Sarjiya, Hadi, S. P., Budiarto, R., & Deendarlianto. (2023). The climate and land-use changes impact on water availability for hydropower plants in Indonesia. Energy Strategy Reviews, 46. https://doi.org/10.1016/j.esr.2022.101043.
Obahoundje, S., Diedhiou, A., Akpoti, K., Kouassi, K. L., Ofosu, E. A., & Marcel Kouame, D. G. (2024). Predicting climate-driven changes in reservoir inflows and hydropower in Côte d’Ivoire using machine learning modeling. Energy, 302. https://doi.org/10.1016/j.energy.2024.131849.
Obahoundje, S., Diedhiou, A., Dubus, L., Adéchina Alamou, E., Amoussou, E., Akpoti, K., & Antwi Ofosu, E. (2022). Modeling climate change impact on inflow and hydropower generation of Nangbeto dam in West Africa using multi-model CORDEX ensemble and ensemble machine learning. Applied Energy, 325. https://doi.org/10.1016/j.apenergy.2022.119795.
Ochieng, W. O., Oludhe, C., Dulo, S., & Olaka, L. (2021). An analytical assessment of climate change trends and their impacts on hydropower in Sondu Miriu River Basin, Kenya. African Journal of Environmental Science and Technology, 15(12), 519–528. https://doi.org/10.5897/ajest2021.3064.
O'Neill, B. C., Tebaldi, C., van Vuuren, D. P., Eyring, V., Friedlingstein, P., Hurtt, G., Knutti, R., Kriegler, E., Lamarque, J.-F., Lowe, J., Meehl, G. A., Moss, R., Riahi, K., and Sanderson, B. M (2016). The Scenario Model Intercomparison Project (ScenarioMIP) for CMIP6. Model Dev., 9, 3451-3482. https://doi.org/10.5194/gmd-9-3461-2016.
Parkinson, S. B. Christopher (2008). Adaptation of energy systems to climate change and water resource constraints. [Dissertation, University of Victoria]. http://hdl.handle.net/1828/7654.
Perdinan, Janna, S. C., Faqih, A., Pratiwi, S. D., & Wibowo, A. (2023). The Contribution of Climate Factors on the Availability of Hydropower Energy in West Java. IOP Conference Series: Earth and Environmental Science, 1266(1). https://doi.org/10.1088/1755-1315/1266/1/012059.
PLN UP2B Sistem Minahasa (2019). Capacity Factor Pembangkit 2019. [Unpublished internal report]. PLN UP2B Sistem Minahasa
Salim, Sardi (2015). Teknik Analisis Debit Aliaran Sungai. Gorontalo: Ideapublishing
Shrestha, A., Shrestha, S., Tingsanchali, T., Budhathoki, A., & Ninsawat, S. (2021). Adapting hydropower production to climate change: A case study of Kulekhani Hydropower Project in Nepal. Journal of Cleaner Production, 279. https://doi.org/10.1016/j.jclepro.2020.123483.
Yangouliba, G. I., Koch, H., Liersch, S., Sintondji, L. O., Sidibé, M., Larbi, I., Limantol, A. M., Yira, Y., Dipama, J. M., & Kwawuvi, D. (2022). Impacts of hydro-climatic trends and upstream water management on hydropower generation at the Bagré dam. Journal of Water and Climate Change, 13(6), 2399–2413. https://doi.org/10.2166/wcc.2022.452.
Guntur Ibnu Haq , Institut Teknologi Sepuluh Nopember, Indonesia
Department of Environmental Engineering, Faculty of Civil, Environmental and Geo-Engineering,
Institut Teknologi Sepuluh Nopember, Surabaya, Indonesia
Joni Hermana , Institut Teknologi Sepuluh Nopember, Indonesia
Department of Environmental Engineering, Faculty of Civil, Environmental and Geo-Engineering,
Institut Teknologi Sepuluh Nopember, Surabaya, Indonesia






